国际数学日 | Love Math as long as π
发文时间:2022-03-14 撰稿人:陈然、北大官微
这个神秘的3.14159……,穿透了所有的门窗,沿着烟囱悄无声息地溜了下来。——奥古斯都·德·摩根
π,是一个无限不循环的超越数。从平面上一个中心点开始,用固定的长度为半径绕行一周,所得圆周长与直径之比就是圆周率π,通过简单蒲丰投针,无穷级数的计算,或是微积分公式,都可以很容易地计算出这个常量,并推至无穷位。
根据诸如爱因斯坦等专家的观点,常数π在对宇宙的描述中是一个关键数字。通过π,就可以在圆与非圆之间确立一种基本的关系。如下图,通过简单的观察就可以看出,圆的周长与直径之间的比值是一个常数,当直径增加时(直径等于半径r的两倍),它与圆周长长度的增加成正比。

数的世界难以穷尽,永无休止,而超越数π形成了数学这棵枝繁叶茂的树上一根粗壮的枝干。人类追求精确圆周率π的历史,也是数学发展的历史,更是人类用理性和智慧不断超越自身的伟大历程。人类文明和π的纠缠无穷无尽。π是关于圆的一切,也不止于圆的一切,与人类发展的命运紧密相连。它是被研究得最多和最受人喜爱的一串数字,包含大量信息,古希腊人渴望化圆为方;麦田怪圈制作者用π大做文章;它在麦克斯韦方程中也大放异彩。已有无数研究它的书籍和文章问世。
科普作家卡尔·萨根在小说《接触》的最后给读者留下了一个疑问:或许有一种秩序隐藏在π的数目字里面:“上帝是一个数学家,这个所谓世界有所不同。宇宙的形成并不仅仅是依照那些决定物理与化学规律的严格数学定律。这是一个信息、一个消息。无论是谁造就了这个宇宙,是他,在超越数中隐藏了一些信息,从而就会在一百五十亿年之后,终于演化出了具有智慧的生命,他们来解读这些超越数。”
具体来说,虽然目前所知π小数点后的数字都按照十分之一的几率出现,严格符合统计规律。但会不会有可能在某一位之后,统计规律将被打破,随机噪声中出现信号,数字开始呈现一定规律性——如果以11为基展开,将全部是1和0,把这些1和0用一定的方式排列,就能构成某种图像。这或许就是上帝的签名,让人类运用证明和计算的方式寻找最高的启示。
又或许像很多科幻小说认为的那样,存在一个我们次元以上的超级文明,这个超级文明为我们所在的宇宙设定了很多初始化参数,而π,就是其中至关重要的一个。无论在几何上还是理论上,π都是数学本身的一个常量,是客观规律的性质,也是我们生存的宇宙的一个本征参数。而结合卡尔·萨根的猜想,或许超级文明的某个程序员把某些想传达给我们的信息隐藏在了他设置的这个基本参数——圆周率π里面,巧妙地让信息跨越百亿光年的时间鸿沟,把信息传递给了我们。我们或许只是还没掌握解码规则?也或许还得等待算力的发展才能窥其究竟。
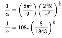
上述都是科幻小说的猜想,而在π伴随人类进化发展的历史上,许多人都是数字命理学的狂热分子,他们看到圆周率的重要价值,认为这个数字背后或许存在某种玄机。这个所谓的精细结构常数α与电磁力有关,是这些圆周率崇拜者所钟爱的对象之一。甚至诺贝尔奖得主,量子物理学家沃纳·海森堡一直猜测与电磁力有关的常数α与π的关系是:

然而,海森堡并非独自一人,在整个物理学理论中,还有相似的近似值,例如:

π,是一个特殊的数学常数,永无止境又不循环,像宇宙一样没有尽头,古老又年轻,像一位活力四射的老寿星,见证整个科学史的沧桑。数学家将大量的聪明才智用在尽可能准确地计算出圆周率上,他们坚持不懈,不断增加着小数点后的数字。曾经有一段时间,有人认为将来某一天这种努力一定会到达终点。然而到了1862年,德国数学家费迪南·冯·林德曼给出了一个确定的答案,从而结束了试图算出圆周率小数点后所有位数的期待。这个答案大体上为:圆周率是由无限长的位数组成的,没有且永远不会有某种方法可以找出圆周率的“精确”值。圆周率的第17387594880位开始往后的10个数字正好是0123456789,这是个有趣的巧合。艾萨克·阿西莫夫曾经总结说:“假如宇宙是球形的,直径为800亿光年,那么取圆周率小数点后的前35位来计算它的天球赤道,得数的误差不到百万分之一厘米。精确到圆周率小数点后50位数字已经足够满足世界上几乎所有的计算,在物理和数学中,需要用到圆周率小数点后10位以上的小数问题可以说是凤毛麟角。
π,神奇玄妙,诱惑人们进行永无止境的探索。最后,借用德国著名数学家卡尔·古斯塔夫·雅克比的一句话来做结:数学是“给人类精神以荣耀”的一种方式。这种精神鼓励我们继续探索诸如π在内的那些数学里有趣而奇异的思想,仅仅求索这份坚定本身就是一种美的享受。
今天,是国际数学日,也可以叫他π日(Pi Day),北大的同学们用各种方式纪念和庆祝这个与数学有关的日子。
北京大学官方微信公众号的小编用圆周率小数点后20位来写“情书”,表白北大:
3年前的那个春日傍晚,我点开了1篇北京大学公众号的推送,看到未名湖上的精灵们在独享湖面春色。确实呀,谁会不喜欢4季如画的北大校园呢?春花、夏夜、秋叶、冬雪,变幻的时节在同1个园子里变幻出5彩斑斓的雅韵和景致……于是,我用尽了9牛2虎之力,全力以付地奔向这里。6月初,我迎来了那个最长的暑假。尽管盛夏尚未到来,我却已经开始期待秋天……功不唐捐,终于,我的购物车的默认收货地址被设置成了“颐和园路5号”。初入燕园,每天的3顿饭,都让我这个选择困难症犯难。校园各处的食堂里,汇聚着天南海北,5花8门的美食,不仅有家乡味道,更有无数惊喜等我慢慢发现。从食堂到教室,从品尝美食到增长学识,选择困难症还需要继续面临考验……9十多个选课意愿点,是北大给我的首批“资产”。如何分配、如何下单……如何用它们订制出自己的课程表,对我而言堪比“灾难”。好在,几个学期的历练下来,我仿佛已经学会选择。虽然站在食堂的我还会纠结,但面对纷繁的课程,我不会再感到慌乱。尽管这与吃饭时的选择无关,但我知道,学会选择能让我在未来继续“有饭可选”。“团结起来,振兴中华!”国庆7十周年的庆祝活动上,走过天安门的北大方阵再次喊响了时代强音,我看着直播画面里的师兄师姐,满眼羡慕、满心震撼。彼时的我并没有想到,两年之后,自己也能站在天安门广场之上,誓言铿锵:请党放心!强国有我!距离我初次踏入燕园,已经过去了9百多个日夜。朝暮交替、习以为常中,也曾有过如隔3秋的想念。那是我成为北大学生的第2个学期。燕园春日花束如火,我却没能如曾经设想的那般漫步其间。我并非不流连故乡的春日,只是迫不得已的相隔是实在煎熬。好在,连接上网络,就能遇见老师和同学;好在,疫情阴霾已被我们联手驱散。3年时光,让我在北大收获很多,也渴望更多。崭新重启的图书馆东楼里,有无尽的好书等我翻阅;晚上8点仍亮如白昼的操场上,有青春的脉动与汗水等我体验;日渐熟悉的专业领域中,有无尽未知与惊喜等我探索;越发精彩的北大公众号里,还有许多稿件等我去采写制作……4年的限时体验已然过半,我想我要抓紧时间,或许,我能把这缘分延长到6年,或许更久些……但无论如何,我也都想在今天说出自己对北大的偏爱,用圆周率小数点后20位数3.14159265358979323846,讲出我的心里话:

北大数院的同学们继续在校园里举办Pi Day活动,带着大家玩转数学:







祝所有人Happy π Day!愿越来越多的人可以 Love Math as long as π!